Высшая математика : Варианты и образцы выполнения контрольных работ № 1-3 для студентов 1 курса спец. 290300, 290700, 290800, 291000, 060500, 060800 заочной формы обучения
учебно-методический материал (практические работы)
Библиографическое описание:Высшая математика : Варианты и образцы выполнения контрольных работ № 1-3 для студентов 1 курса спец. 290300, 290700, 290800, 291000, 060500, 060800 заочной формы обучения / сост. М.Г. Мышляева, Н.П. Андреев. - Красноярск : КрасГАСА, 2004. - 56 с.
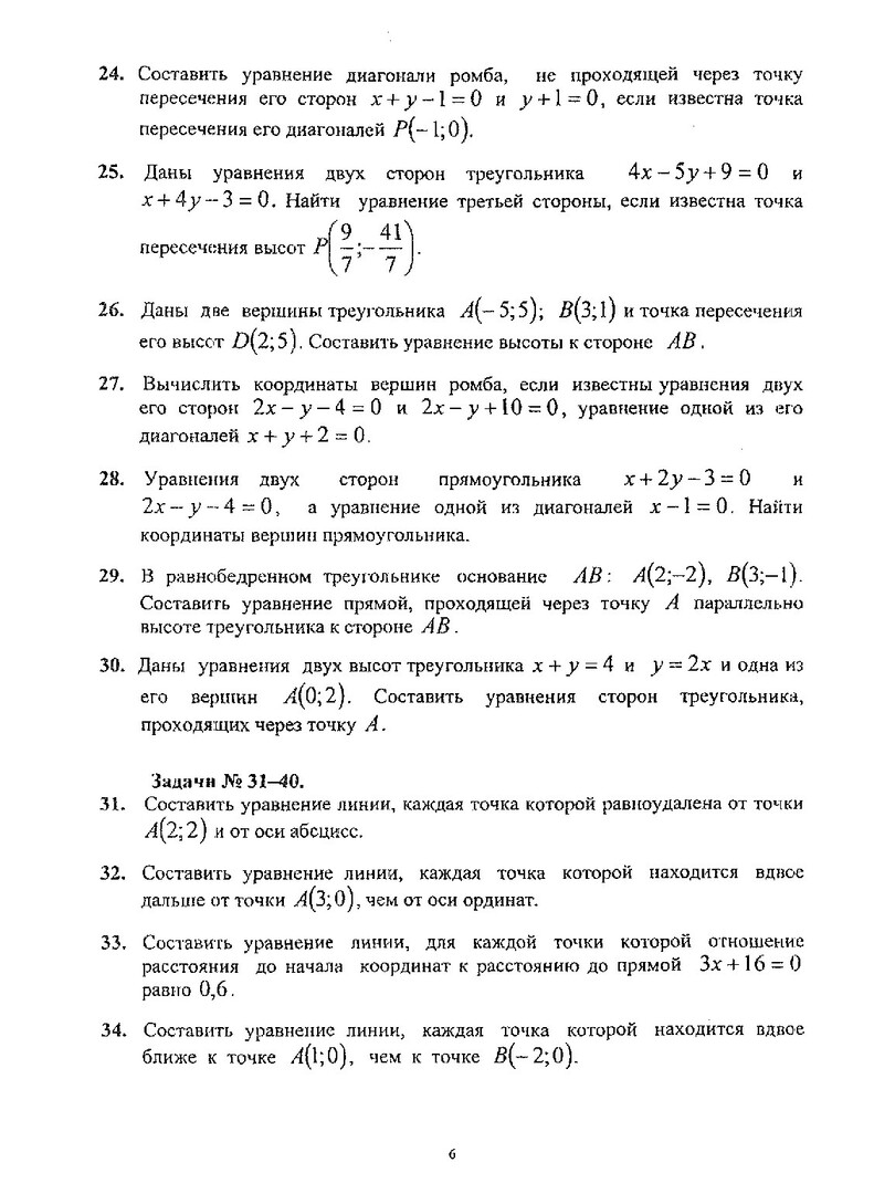
Аннотация:Данная работа содержит типовые задачи из следующих разделов: элементы аналитической геометрии, векторной и линейной алгебры; введение в математический анализ и дифференциальное исчисление функции одной переменной, соответствует программе курса высшей математики и рассчитана, прежде всего, для студентов заочного факультета.